TOP

NMR Experiments on Bruker 400

"From the perspective of the NMR chemist, our scheme is unusual in a fundamental respect. In NMR spectroscopy, the primary purpose is to elucidate molecular structure and chemical dynamics, and great efforts are made to enhance the desired signal and render the detected spectra into a form that reflects properties of the system under study. Our purpose here is very different—we view each molecule as a single computer, whose state is determined by the orientations of its spins."

-- Design and demonstration of the first quantum computer with NMR. Gershenfeld, Neil A. and Chuang, Isaac L. (1997). "Bulk Spin-Resonance Quantum Computation". Science 275 (5298): 350–356.

The following is a set of NMR experiments, mostly 2D experiments, demonstrated on Bruker 400 with the room-temperature probe (SmartProbe). A great majority were done with the Non-Uniform Sampling (NUS) setup, a good compromise between speed and data quality. All data were processed with Mnova. Except 19F-1H correlation experiments and some low-frequency X spin related experiments, they are also available on Bruker 500.

The data quality is good albeit with lower sensitivity than on Bruker 500 with the coldprobe, as expected. If the sample concentration can be raised, Bruker 400 is suitable for a variety of 2D NMR experiments, especially when Bruker 500 is crowded with a long waiting time. Use this calculator to estimate the sample concentration. For soluble materials and if possible, raise the concentration to 50 mM or more for 1D 13C or 2D 1H-13C experiments.

Note that some low-frequency X-nucleus experiments and all 19F-1H correlated experiments (HETCOR or HOESY) can ONLY be done on Bruker 400, not Bruker 500.

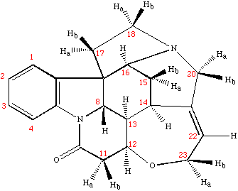
Most experiments were done with Strychnine at a concentration of ~ 100 mM in CDCl3. Most took a few mins to an hour at this concentration. The well-documented resonance assignments and other sample data can be found in Bruker's spectra database. Other spectra were collected with 5,7-Difluoro-1-indanone at ~ 200 mM in CDCl3. More details and spectra will be added here as they are collected. If you need any experiments added under your account, or need assistance with setup, please e-mail or talk to the manager.

Strychnine

1H spectrum

13C spectrum

The following data were collected on Bruker 400 with SmartProbeTM

NOTE: Red and blue colors in the spectra indicate opposite intensities for the peaks. Positive or negative sign, however, only carries relative meaning and has no physical importance in the NMR experiment and presentation.

1D 1H and 13C


1H spectrum (16 scans)

13C spectrum (128 scans)

13C DEPT135

13C DEPT with 135-degree editing pulse (200 scans, ~ 15 mins). DEPT (Distortionless Enhancement by Polarization Transfer) is an experiment for proton multiplicity analysis. DEPT135 reveals CH/CH3 carbons in the opposite sign from CH2 carbons. However, it is more common nowadays to simply run the multiplicity edited 2D 1H-13C HSQC with the additional benefit of correlating 1H and 13C spins. More details on DEPT can be found in the notes on the Varian version of the complete DEPT experiments.

2D 1H-1H COSY, Magnitude Mode

COSY correlates (entangles) spins using their J-couplings through bonds, usullay involving 1H spins two- or three- bonds away.

2D 1H-13C HSQC, Multiplicity-Edited, Phase-Sensitive

Multiplicity-editing in HSQC (Heteronuclear Single Quantum Correlation) allows the sign distinction of CH/CH3 from CH2 in addition to differences in chemical shifts and in some cases, doublet peaks for CH2 where two distinct 1Hs correlate with the same 13C.

2D 1H-13C HMQC, Phase-Sensitive

Heteronuclear Multiple Quantum Correlation (HMQC) experiment. It is often used to detect single-bond correlations, such as direct 1H-13C bonds. It is similar to the more often used HSQC (Heteronulear Single Quantum Correlation). However, HMQC exhibits passive 1H-1H couplings along the X-nucleus dimension while in HSQC they are absent. At high-resolution, these couplings may show but often they only cause line-broadening along the X-spin dimension. HSQC with 1H-mutiplicity editing is often preferred except when small, multiple-bond J couplings are detected. HMQC is also embedded in HMBC (Heteronuclear Multiple Bond Correlation) pulse sequence. See more discussion on HSQC and HMQC here.

2D 1H-1H NOESY with various NOE mixing times, Phase-Sensitive


800 msec

500 msec

200 msec

100 msec
NOESY: through-space correlation between 1H spins. The intensity of a correlation cross-peak scales as 1/R6 of the inter-1H distance. NOESY only exhibits crosspeaks for proton pairs within ~ 5 Å before the intensity weakens to the noise level. The NOE mixing time is often set to 300 to 500 msec for small molecules under 1 kD and ~ 100-150 msec or shorter for rigid macromolecules, i.e. proteins. The sign of NOEs is opposite to the diagonal peaks for small, fast-tumbling molecules or flexible regions but is the same with the diagonal peaks for rigid, large molecules of over a few kD. The sign transition occurs around ~ 1 nsec of the rotational (NOT translational) correlation time of the molecular tumbling where NOEs weaken significantly or disappear. This corresponds to a MW of ~ 1 - 2 kD. In such situations, ROESY (Rotating Frame NOESY) may be used to probe through-space correlations. More details are discussed here.

NOESY is also used to study chemical exchange among the spins, either structural exchange among distinct conformers or exchange of the same spin between different sites or molecules (i.e -NH and H2O proton exchange). In this study, it's renamed as exchange spectroscopy (EXSY). Protons under fast exchange exhibit NOE-type crosspeaks in the same sign as the diagonal peaks (where true NOE/ROE crosspeaks are in opposite sign for small molecules); they are often easily recognizable.

2D 1H-1H TOCSY, Phase-Sensitive

TOCSY (Total Correlation Spectroscopy) entangles spins in a daisy-chain fashion through isotropic mixing of the J-coupled spins. Compared to COSY, it provides J-coupling 1H correlations as far as it gets; it often works well with a long chain of unbroken 1H couplings.

2D 1H-13C HMBC, Magnitude Mode

1H-13C HMBC (Heteronuclear Multiple Bond Correlation) experiment is among the most useful experiments for resonance assignment and structural determination. It correlates 1H and 13C spins through bonds, often within 2- or 3- bonds before J-couplings weaken to near zero. HMBC is also widely and easily adapted to detection of 1H couplings to many other X-nucleus spins, such as 15N, 31P, 29Si, 11B, Cd113 .. It is especially useful when direct detection of the X-nucleus is difficult due to its low sensitivity (i.e. 15N) or when its T1 relaxation time is very long.

2D 1H-15N HMBC, Magnitude Mode


Strychnine
Direct 15N detection is extremely difficult unless the sample is 15N labeled and is at very high concentration. It is, however, very efficient to indirectly detect 15N atoms even at natural abundance (~ 0.37%) in 2D 1H-15N HMBC through its coupled 1H spins. For Strychnine, the two nitrogens are clearly shown through multiple correlations with adjacent 1Hs. The side trace along the 15N axis is the total projection of the 2D crosspeaks.

2D 1H-13C HSQC-TOCSY, Phase-Sensitive

In this HSQC-TOCSY experiment, direct 1H-13C bonds are detected as in HSQC followed by TOCSY mixing of the 13C-bonded 1Hs with other protons through J-coupling. Analysis may start at the 1H-13C peak detected in HSQC then link it horizontally to other carbon bonded 1Hs' typically 2- or -3 bond away. Vertically, the same 1H resonance may also be correlated with multiple carbons of -CH, -CH2, or -CH3 groups within a few bonds.

2D 19F-1H HETCOR, Magnitude Mode


5,7-Difluoro-1-indanone
Heteronuclear 19F-detected, 2D 19F-1H through-bond correlation experiment. Here, based on J-couplings alone, the two 19F spins (and the coupled 1Hs) can be assigned with one coupled to two -CH protons and the other to only one.

2D 19F-1H HOESY, Magnitude Mode

2D 19F-detected, 19F-1H Heteronuclear NOESY (HOESY) experiment on 5,7-Difluoro-1-indanone. This experiment detects proximity between 19F and 1H through NOE. The NOE mixing time was set to 500 msec. Here, based on NOEs alone, the two 19F spins (and the adjacent 1Hs) can be assigned with one coupled to two -CH protons and the other to only one. Compare HOESY with HETCOR above.

March 12, 2026 By H. Zhou


©2026 The Regents of the University of California. All Rights Reserved. UCSB, Santa Barbara, CA 93106